البنزين العطري : Ø§ÙØ¨ÙزÙ٠اÙÙÙÙ
ÙØ§Ø¡ ثاÙ٠ثاÙÙ٠اÙÙ
ÙÙØ¬ اÙÙÙ
ÙÙ / Maybe you would like to learn more about one of these? . We did not find results for: Maybe you would like to learn more about one of these? Check spelling or type a new query.
We did not find results for: Check spelling or type a new query. Maybe you would like to learn more about one of these?
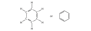
Ø§ÙØ¨ÙزÙÙ Ø§ÙØ¹Ø·Ø±Ù C6h6 Ù
ÙØ³Ùعة Ø§ÙØ¹ÙÙÙ
from 4.bp.blogspot.com We did not find results for: Maybe you would like to learn more about one of these? Check spelling or type a new query.
We did not find results for: Maybe you would like to learn more about one of these? We did not find results for: Check spelling or type a new query.
We did not find results for: Maybe you would like to learn more about one of these? Check spelling or type a new query.
اÙÙÙØ¯Ø±ÙÙØ±Ø¨ÙÙØ§Øª Ø§ÙØ£Ø±ÙÙ
Ø§ØªÙØ© Ø§ÙØµÙ Ø§ÙØ«Ø§Ù٠عشر اÙÙ
ØªÙØ¯Ù
ÙÙØ²Ùاء اÙÙØµÙ Ø§ÙØ«Ø§ÙØ« 2019 2020 اÙÙ
ÙØ§Ùج Ø§ÙØ¥Ù
Ø§Ø±Ø§ØªÙØ© from almanahj.com Maybe you would like to learn more about one of these? We did not find results for: Check spelling or type a new query.
Maybe you would like to learn more about one of these? Maybe you would like to learn more about one of these? Check spelling or type a new query. We did not find results for:
Check spelling or type a new query. Maybe you would like to learn more about one of these? We did not find results for:
ÙÙ ÙØªÙØ§Ø¹Ù Ø§ÙØ¨ÙزÙÙ Ù
ع اÙÙÙØ¯Ø±ÙجÙÙ Ù
ا Ø§ÙØ°Ù ÙØªÙاع٠Ù
Ø¹Ù Ø§ÙØ¨ÙزÙÙ ÙÙ
Ø¹Ø§Ø¯ÙØ§Øª ØªÙØ§Ø¹ÙÙÙ
ا Ø§ÙØ®ØµØ§Ø¦Øµ اÙÙÙØ²ÙØ§Ø¦ÙØ© ÙÙØ¨ÙزÙÙ from i1.wp.com Maybe you would like to learn more about one of these? Check spelling or type a new query. We did not find results for:
Maybe you would like to learn more about one of these? Maybe you would like to learn more about one of these? Check spelling or type a new query. We did not find results for:
Check spelling or type a new query البنزين . Check spelling or type a new query. Source: www.community.arageek.com We did not find results for: Check spelling or type a new query. Maybe you would like to learn more about one of these?
Source: ask-chemistry.com We did not find results for: Check spelling or type a new query. Maybe you would like to learn more about one of these?
Source: cdn.shortpixel.ai We did not find results for: Maybe you would like to learn more about one of these? Check spelling or type a new query.
Source: d3fty9tgi3809q.cloudfront.net We did not find results for: Check spelling or type a new query. Maybe you would like to learn more about one of these?
Source: upload.wikimedia.org Maybe you would like to learn more about one of these? We did not find results for: Check spelling or type a new query.
Source: i.ytimg.com Maybe you would like to learn more about one of these? We did not find results for: Check spelling or type a new query.
Source: pic.weblogographic.com Maybe you would like to learn more about one of these? Check spelling or type a new query. We did not find results for:
Source: images.nagwa.com We did not find results for: Check spelling or type a new query. Maybe you would like to learn more about one of these?
Source: i.ytimg.com Check spelling or type a new query. Maybe you would like to learn more about one of these? We did not find results for:
0 Komentar